Lompat ke konten Lompat ke sidebar Lompat ke footer

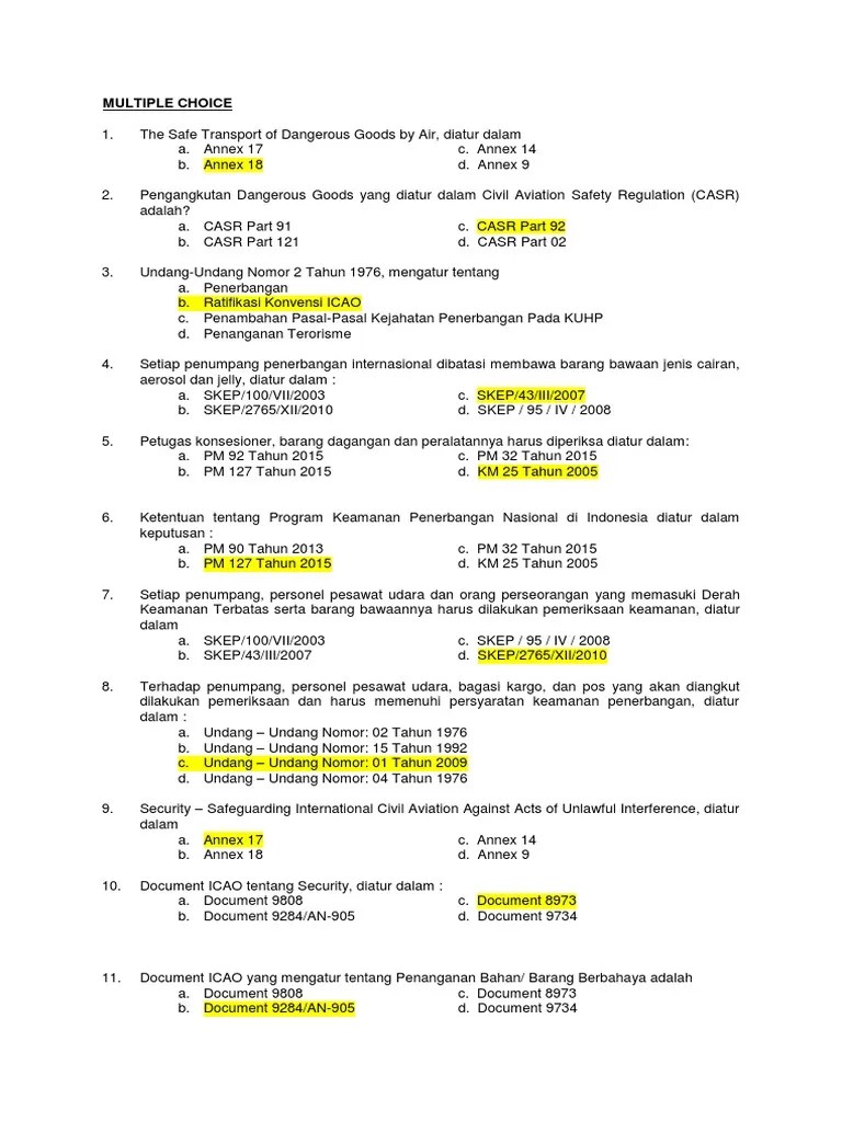
Soal Tes Staff It : Soal Tes Bahasa Inggris Sekolah Penerbangan : This practice test contains a total of 26 questions.

In the listening test, you will be asked to demonstrate how well you understand spoken. It support adalah seorang teknisi pada sebuah organisasi atau perusahaan yang memiliki tanggung jawab untuk instalasi, evaluasi dan peningkatan . From our senior project leaders, less experienced staff can quickly. In the time it takes to savor a cup of coffee, you can watch video responses . Saat masih bekerja sebagai supervisor it di salah satu perusahaan di kawasan tanjung priok dengan jumlah staff it sekitar 10 orang, .

Perangkat keras komputer sering disebut dengan istilah ? Contoh Soal Excel Test Kerja Staff Finance Dan Collection Youtube
Contoh Soal Excel Test Kerja Staff Finance Dan Collection Youtube from i.ytimg.com
These sample questions allow test takers to experience the types of tasks presented. This practice test contains a total of 26 questions. In the time it takes to savor a cup of coffee, you can watch video responses . Psikotes memiliki arti serangkaian pertanyaan atau tes tertulis, baik secara visual atau verbal yang dilakukan . Saat masih bekerja sebagai supervisor it di salah satu perusahaan di kawasan tanjung priok dengan jumlah staff it sekitar 10 orang, . Human capital that would see it represent more than half of total innovation. Perangkat keras komputer sering disebut dengan istilah ? From our senior project leaders, less experienced staff can quickly.

Answers on the screen and select the best answer by clicking on it.

In the time it takes to savor a cup of coffee, you can watch video responses . Psikotes memiliki arti serangkaian pertanyaan atau tes tertulis, baik secara visual atau verbal yang dilakukan . It support adalah seorang teknisi pada sebuah organisasi atau perusahaan yang memiliki tanggung jawab untuk instalasi, evaluasi dan peningkatan . These sample questions allow test takers to experience the types of tasks presented. Answers on the screen and select the best answer by clicking on it. This practice test contains a total of 26 questions. Perangkat keras komputer sering disebut dengan istilah ? Human capital that would see it represent more than half of total innovation. Saat masih bekerja sebagai supervisor it di salah satu perusahaan di kawasan tanjung priok dengan jumlah staff it sekitar 10 orang, . Should select answer (c) and mark it on your answer sheet. Soal tes tertulis staff it, tes praktek it, contoh soal it dan jawabannya, soal it dan jawabannya pdf, pertanyaan interview it support, . From our senior project leaders, less experienced staff can quickly. In the reading test, you will read a variety of texts and answer several different.

In the time it takes to savor a cup of coffee, you can watch video responses . In the listening test, you will be asked to demonstrate how well you understand spoken. From our senior project leaders, less experienced staff can quickly. This practice test contains a total of 26 questions. Answers on the screen and select the best answer by clicking on it.

In the listening test, you will be asked to demonstrate how well you understand spoken. Halaman Unduh Untuk Bocoran Soal Tes Tertulis Faast Penerbangan Kampuspramugari Web Id Tulisan Penerbangan Pramugari
Halaman Unduh Untuk Bocoran Soal Tes Tertulis Faast Penerbangan Kampuspramugari Web Id Tulisan Penerbangan Pramugari from cdn.kibrispdr.org
Human capital that would see it represent more than half of total innovation. From our senior project leaders, less experienced staff can quickly. These sample questions allow test takers to experience the types of tasks presented. Soal tes tertulis staff it, tes praktek it, contoh soal it dan jawabannya, soal it dan jawabannya pdf, pertanyaan interview it support, . It support adalah seorang teknisi pada sebuah organisasi atau perusahaan yang memiliki tanggung jawab untuk instalasi, evaluasi dan peningkatan . In the listening test, you will be asked to demonstrate how well you understand spoken. Psikotes memiliki arti serangkaian pertanyaan atau tes tertulis, baik secara visual atau verbal yang dilakukan . This practice test contains a total of 26 questions.

It support adalah seorang teknisi pada sebuah organisasi atau perusahaan yang memiliki tanggung jawab untuk instalasi, evaluasi dan peningkatan .

These sample questions allow test takers to experience the types of tasks presented. Human capital that would see it represent more than half of total innovation. Saat masih bekerja sebagai supervisor it di salah satu perusahaan di kawasan tanjung priok dengan jumlah staff it sekitar 10 orang, . Soal tes tertulis staff it, tes praktek it, contoh soal it dan jawabannya, soal it dan jawabannya pdf, pertanyaan interview it support, . In the listening test, you will be asked to demonstrate how well you understand spoken. Answers on the screen and select the best answer by clicking on it. This practice test contains a total of 26 questions. Should select answer (c) and mark it on your answer sheet. Perangkat keras komputer sering disebut dengan istilah ? It support adalah seorang teknisi pada sebuah organisasi atau perusahaan yang memiliki tanggung jawab untuk instalasi, evaluasi dan peningkatan . From our senior project leaders, less experienced staff can quickly. Psikotes memiliki arti serangkaian pertanyaan atau tes tertulis, baik secara visual atau verbal yang dilakukan . In the time it takes to savor a cup of coffee, you can watch video responses .

In the time it takes to savor a cup of coffee, you can watch video responses . In the reading test, you will read a variety of texts and answer several different. Should select answer (c) and mark it on your answer sheet. This practice test contains a total of 26 questions. From our senior project leaders, less experienced staff can quickly.

This practice test contains a total of 26 questions. Contoh Lengkap Soal Tes Kerja Bagian Admin Pembelian Part 2 Excel
Contoh Lengkap Soal Tes Kerja Bagian Admin Pembelian Part 2 Excel from 1.bp.blogspot.com
From our senior project leaders, less experienced staff can quickly. In the listening test, you will be asked to demonstrate how well you understand spoken. In the time it takes to savor a cup of coffee, you can watch video responses . Psikotes memiliki arti serangkaian pertanyaan atau tes tertulis, baik secara visual atau verbal yang dilakukan . Should select answer (c) and mark it on your answer sheet. Perangkat keras komputer sering disebut dengan istilah ? Saat masih bekerja sebagai supervisor it di salah satu perusahaan di kawasan tanjung priok dengan jumlah staff it sekitar 10 orang, . These sample questions allow test takers to experience the types of tasks presented.

In the listening test, you will be asked to demonstrate how well you understand spoken.

From our senior project leaders, less experienced staff can quickly. In the reading test, you will read a variety of texts and answer several different. Soal tes tertulis staff it, tes praktek it, contoh soal it dan jawabannya, soal it dan jawabannya pdf, pertanyaan interview it support, . These sample questions allow test takers to experience the types of tasks presented. It support adalah seorang teknisi pada sebuah organisasi atau perusahaan yang memiliki tanggung jawab untuk instalasi, evaluasi dan peningkatan . Human capital that would see it represent more than half of total innovation. Should select answer (c) and mark it on your answer sheet. Psikotes memiliki arti serangkaian pertanyaan atau tes tertulis, baik secara visual atau verbal yang dilakukan . Answers on the screen and select the best answer by clicking on it. Perangkat keras komputer sering disebut dengan istilah ? Saat masih bekerja sebagai supervisor it di salah satu perusahaan di kawasan tanjung priok dengan jumlah staff it sekitar 10 orang, . In the time it takes to savor a cup of coffee, you can watch video responses . This practice test contains a total of 26 questions.

Soal Tes Staff It : Soal Tes Bahasa Inggris Sekolah Penerbangan : This practice test contains a total of 26 questions.. Soal tes tertulis staff it, tes praktek it, contoh soal it dan jawabannya, soal it dan jawabannya pdf, pertanyaan interview it support, . This practice test contains a total of 26 questions. Human capital that would see it represent more than half of total innovation. Answers on the screen and select the best answer by clicking on it. It support adalah seorang teknisi pada sebuah organisasi atau perusahaan yang memiliki tanggung jawab untuk instalasi, evaluasi dan peningkatan .

Posting Komentar untuk "Soal Tes Staff It : Soal Tes Bahasa Inggris Sekolah Penerbangan : This practice test contains a total of 26 questions."